Optima® 624 capillary columns for GC
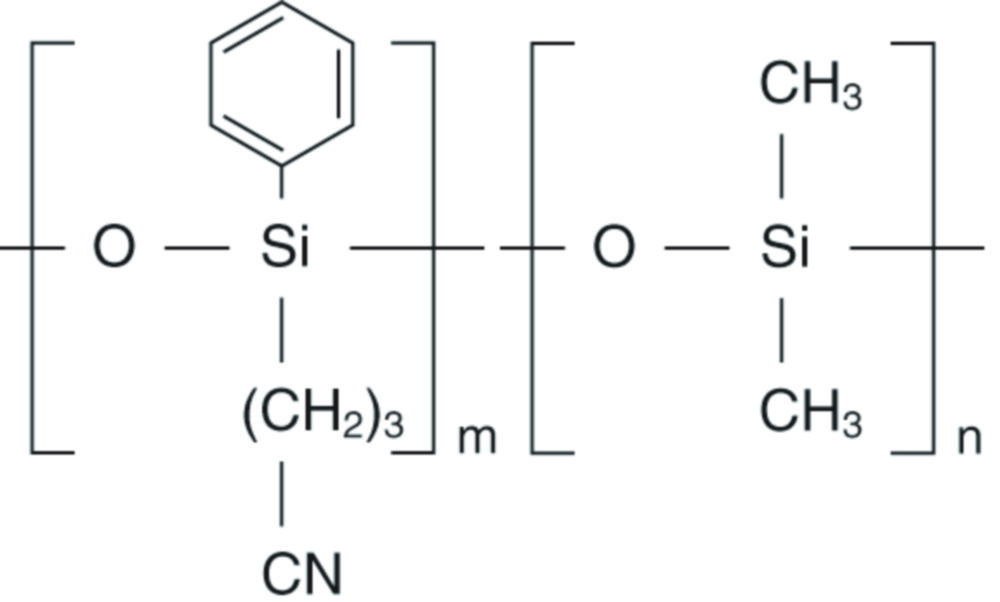
6% cyanopropyl-phenyl – 94% dimethylpolysiloxane
USP G43
medium polar phase
recommended for environmental analyses
similar phases: HP-624, HP-VOC, DB-624, DB-VRX, SPB-624, CP-624, Rtx-624, Rtx-Volatiles, 007-624, BP624, VOCOL
max. temperature for isothermal operation: 280°C, max. temperature for short isotherms in a temperature programme: 300°C
Toote variatsioonid
| Catalog number | PK | Int. Ø | Length | Film thickness | Material column | Polarity | USP listing | Kogus | |
|---|---|---|---|---|---|---|---|---|---|
| 4.003 219 | 1.00 | 0.32 mm | 60 m | 1.8 µm | Quartz glass | Mid-polar | G43 | ||
| 4.003 218 | 1.00 | 0.32 mm | 50 m | 1.8 µm | Quartz glass | Mid-polar | G43 | ||
| 4.003 220 | 1.00 | 0.53 mm | 25 m | 3.0 µm | Quartz glass | Mid-polar | G43 | ||
| 4.003 211 | 1.00 | 0.25 mm | 30 m | 1.4 µm | Quartz glass | Mid-polar | G43 | ||
| 4.003 221 | 1.00 | 0.53 mm | 30 m | 3.0 µm | Quartz glass | Mid-polar | G43 | ||
| 4.003 213 | 1.00 | 0.25 mm | 60 m | 1.4 µm | Quartz glass | Mid-polar | G43 | ||
| 4.003 212 | 1.00 | 0.25 mm | 50 m | 1.4 µm | Quartz glass | Mid-polar | G43 | ||
| 4.003 217 | 1.00 | 0.25 mm | 30 m | 1.8 µm | Quartz glass | Mid-polar | G43 |
